平成23年度 2級建築施工管理技術検定試験 実地試験
| 問題は,全問題を解答してください。 尚、回答例は公開されていません。独自の解答なため、出題者側の解答とは異なります。 このとおり解答しても採点者によっては誤りと判断される場合もあります。 |
| 解答及び解説で疑問を持ったら即調べてみましょう。 自分で調べた方が絶対に頭に入ります。 |
| No1 | あなたが経験した建築工事のうち、あなたの受検種別に係る工事の中から、施工の計画を行った工事を1つ選び、工事概要を記入した上で、次の問いに答えなさい。 なお、建築工事とは、建築基準法に定める建築物に係る工事とする。ただし、建築設備工事を除く。 |
||||||||||||||||||||||||||
| 〔工事概要〕 イ.工事名 ロ.工事場所 ハ.工事の内容 新築等の場合:建物用途、構造、階数、延べ面積又は施工数量、主な外部仕上げ、主要室の内部仕上げ 改修等の場合:建物用途、主な改修内容、施工数量又は建物規模 ニ.工期(年号又は西暦で年月まで記入) ホ.あなたの立場 |
|||||||||||||||||||||||||||
| 1. | 工事概要であげた工事であなたが担当した工種において,与えられた工期内に予定どおり工事を完了させるため,あなたが実際に行ったことと,なぜそうすることで予定どおり工事が進むと考えたのか,その理由を工種名(鉄骨工事,タイル工事など)とともに3つ,それぞれ具体的に記述しなさい。 ただし,実際に行ったことの記述内容が同一のものや,工程管理以外の品質管理や安全管理についての記述は不可とする。なお,工種名については,同一の工種名でなくてもよい。 |
||||||||||||||||||||||||||
|
解答と解説: |
|||||||||||||||||||||||||||
| 2. | 工事概要にあげた工事及び受検種別にかかわらず,あなたの今日までの建築工事の経験に照らし,工期を短縮するための方法と短縮できる理由を工種名とともに2つあげ,その方法を行うことによって派生する効果又は問題点について,具体的に記述しなさい。 ただし,工期を短縮するための方法の記述内容が同一のものや,上記1.の実際に行ったことと同じ内容の記述は不可とする。なお,工種名については,同一の工種名でなくてもよい。 |
||||||||||||||||||||||||||
|
|
|||||||||||||||||||||||||||
|
|
|||||||||||||||||||||||||||
| No2 | 次の建築工事に関する用語のうちから5つ選び、その用語の説明と施工上留意すべき内容を具体的に記述しなさい。 ただし、仮設以外の用語については、作業上の安全に関する記述は不可とする。 また、材料に不良品はないものとする。 |
||||||||||||||||||||||||||
|
|||||||||||||||||||||||||||
| 1. | 親綱 | ||||||||||||||||||||||||||
|
解答と解説: |
|||||||||||||||||||||||||||
|
|
|||||||||||||||||||||||||||
| 2. | 切梁のプレロード工法 | ||||||||||||||||||||||||||
|
解答と解説: |
|||||||||||||||||||||||||||
|
|
|||||||||||||||||||||||||||
| 3. | グリッパー工法 | ||||||||||||||||||||||||||
|
解答と解説: |
|||||||||||||||||||||||||||
| 4. | 軽量鉄骨壁下地の振れ止め | ||||||||||||||||||||||||||
|
解答と解説: |
|||||||||||||||||||||||||||
| 5. | コンクリートの締固め | ||||||||||||||||||||||||||
|
解答と解説: |
|||||||||||||||||||||||||||
| 6. | セルフレベリング工法 | ||||||||||||||||||||||||||
|
解答と解説: |
|||||||||||||||||||||||||||
| 7. | 耐震スリット | ||||||||||||||||||||||||||
|
解答と解説: |
|||||||||||||||||||||||||||
| 8. | 鉄骨柱のベースモルタル | ||||||||||||||||||||||||||
|
解答と解説: |
|||||||||||||||||||||||||||
| 9. | 腹筋 | ||||||||||||||||||||||||||
|
解答と解説: |
|||||||||||||||||||||||||||
| 10. | ビニル床シートの熱溶接工法 | ||||||||||||||||||||||||||
|
解答と解説: |
|||||||||||||||||||||||||||
| 11. | フラットデッキプレート | ||||||||||||||||||||||||||
|
解答と解説: |
|||||||||||||||||||||||||||
| 12. | ベンチマーク | ||||||||||||||||||||||||||
|
解答と解説: |
|||||||||||||||||||||||||||
| 13. | ボンドブレーカー | ||||||||||||||||||||||||||
|
解答と解説: |
|||||||||||||||||||||||||||
| 14. | ルーフドレン | ||||||||||||||||||||||||||
|
解答と解説: |
|||||||||||||||||||||||||||
|
|
|||||||||||||||||||||||||||
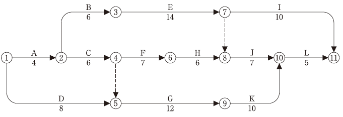
| No3 | 図に示すネットワーク工程表について,次の1.から3.の問いに答えなさい。 なお,内の数字はイベント番号,矢線の上段のアルファベットは作業名,下段の数値は所要日数を示す。 |
||||||||||||||||||||||||||
![]() |
|||||||||||||||||||||||||||
| 1. | 工程表において,@からJまでの総所要日数を答えなさい。 | ||||||||||||||||||||||||||
|
解答と解説: |
|||||||||||||||||||||||||||
|
|
|||||||||||||||||||||||||||
| 2. | 工程表において,作業Hのフリーフロートは何日間であるか,日数で答えなさい。 | ||||||||||||||||||||||||||
|
解答と解説: |
|||||||||||||||||||||||||||
|
|
|||||||||||||||||||||||||||
| 3. | 工程表において,作業Eと作業Hがそれぞれ2日間遅延したときのクリティカルパスを,作業名で工程順に並べて答えなさい。 | ||||||||||||||||||||||||||
|
解答と解説: |
|||||||||||||||||||||||||||
|
|
|||||||||||||||||||||||||||
| No4 | 次の文章中,下線部の語句が適当なものは○印を,不適当なものは適当な語句を記入しなさい。 | ||||||||||||||||||||||||||
| 1 | 軟弱な粘性土地盤を掘削するとき,矢板背面の土の重量によって掘削底面内部に滑り破壊が生じ,底面が押し上げられてふくれ上がる現象を,ボイリングという。 |
||||||||||||||||||||||||||
|
解答と解説: |
|||||||||||||||||||||||||||
|
|
|||||||||||||||||||||||||||
| 2 | 鉄筋コンクリート梁に,コンクリートの鉛直打継ぎ部を設ける場合の打継ぎ面は,コンクリート打込み前の打継ぎ部の処理が円滑に行え,かつ,新たに打ち込むコンクリートの締固めが容易に行えるものとし,主筋と平行となるようにする。 |
||||||||||||||||||||||||||
|
解答と解説: |
|||||||||||||||||||||||||||
|
|
|||||||||||||||||||||||||||
| 3 | コンクリートの打込み日を含む旬の日平均気温が4 ℃を下回る期間に行うコンクリート工事は,コンクリート打込み後の養生期間にコンクリートが凍結するおそれのある時期に行われる寒中コンクリート工事として扱う。 | ||||||||||||||||||||||||||
|
解答と解説: |
|||||||||||||||||||||||||||
|
|
|||||||||||||||||||||||||||
| 4 | 鉄骨工事におけるトルシア形高力ボルトの締付け後の検査は,ボルトの半数について,ピンテールの破断の確認,1次締め後に付したマークのずれによる共回り・軸回りの有無,ナット回転量の確認及びナット面から突き出したボルトの余長の過不足を目視で検査する。 | ||||||||||||||||||||||||||
|
解答と解説: |
|||||||||||||||||||||||||||
|
|
|||||||||||||||||||||||||||
| 5 | アスファルト防水において,立上りのルーフィング類を平場と別に張り付ける場合は,平場のルーフィング類を張り付けた後,その上に重ね幅100 mm 程度をとって張り重ねる。 | ||||||||||||||||||||||||||
|
解答と解説: |
|||||||||||||||||||||||||||
|
|
|||||||||||||||||||||||||||
| 6 | 塗装工事の各工程における塗料の塗付け量(kg/m2)は,一般に,平らな面に実際に付着させる希釈後の塗料の質量で,施工ロスを含まない量を示す。 | ||||||||||||||||||||||||||
|
解答と解説: |
|||||||||||||||||||||||||||
|
|
|||||||||||||||||||||||||||
| 7 | 鋼板製折板葺きにおいて,重ね形の折板は,2山ごとにタイトフレームに固定ボルト締めとし,折板の流れ方向における重ね部に使用する緊結ボルトの間隔は,600 mm 程度とする。 | ||||||||||||||||||||||||||
|
解答と解説: |
|||||||||||||||||||||||||||
|
|
|||||||||||||||||||||||||||
| 8 | ジョイナーは,ボード類を壁・天井などに張るとき,突付けジョイント部,出隅・入隅部などに目地隠しや化粧カバー,押えなどとして用いる目地材である。 |
||||||||||||||||||||||||||
|
解答と解説: |
|||||||||||||||||||||||||||
|
|
|||||||||||||||||||||||||||
| No5 | 「建設業法」,「建築基準法施行令」及び「労働安全衛生法」に定める次の各法文において,それぞれ誤っている語句の番号を1つあげ,それに対する正しい語句を記入しなさい。 |
||||||||||||||||||||||||||
| 1. | 建設業法(第24 条の3第1項) | ||||||||||||||||||||||||||
| 元請負人は,請負代金の出来形 |
|||||||||||||||||||||||||||
|
解答と解説: |
|||||||||||||||||||||||||||
|
|
|||||||||||||||||||||||||||
| 2. | 建築基準法施行令(第136条の3第6項) | ||||||||||||||||||||||||||
| 建築工事等における根切り及び山留めについては,その工事の施工中 |
|||||||||||||||||||||||||||
|
解答と解説: |
|||||||||||||||||||||||||||
|
|
|||||||||||||||||||||||||||
| 3. | 労働安全衛生法(第60 条第1項) | ||||||||||||||||||||||||||
| 事業者は,その事業場の業種が政令で定めるものに該当するときは,新たに職務につくこととなった職長 |
|||||||||||||||||||||||||||
|
解答と解説: |
|||||||||||||||||||||||||||
|
|
|||||||||||||||||||||||||||
| TOP | 次のページへ | |||||||||||||||||||||||||
|
||||||||||||||||||||||||||