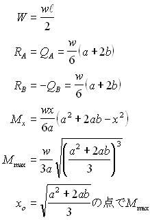
単純梁032

単純梁一覧へ戻る

メニューへ戻る