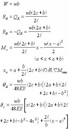
単純梁016

単純梁一覧へ戻る

メニューへ戻る